#1236. 【入门】求二叉树的深度及遍历结果

【入门】求二叉树的深度及遍历结果

Description

从键盘读入一棵二叉树,请问这棵二叉树的深度是多少?这棵二叉树如果后序遍历的结果是什么?

Input Format

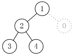
第1行输入一个整数n,代表读入的数据数量。(n≤100) 第2行读入n个非负整数,代表读入的数据,读入的整数中,如果值大于0,代表的是二叉树的结点,如果值等于0,代表当前结点为空。(根结点的深度为1) 二叉树的构造按照层次顺序(即第1层1个整数,第2层2个,第3层4个,第4层有8个......,如果某个结点不存在以0代替) 样例数据确保读入的第n个整数>0

Output Format

输出有2行; 第1行输出该二叉树的深度; 第2行输出后序遍历二叉树得到的序列,数字之间用空格隔开;

5
1 2 0 3 4

3
3 4 2 1

Hint

样例对应二叉树如下图所示:

Source

二叉树