#1238. 【入门】子树的大小

【入门】子树的大小

Description

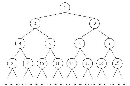
有如上图所示的完全二叉树,该二叉树有n个结点,编号从上向下、从左向右以此为1~n。请问,编号为m的结点所在的子树,包含了多少个结点?

比如,n = 12,m = 3,则上图中的结点13,14,15以及后面的结点都是不存在的,结点m=3所在子树中包括的结点有3,6,7,12,因此结点m的所在子树中共有4个结点。

Input Format

输入两个整数mn (1 <= m <= n <= 109)

Output Format

输出结点m所在子树中包含的结点的数目。

3 7
3

Source

二叉树